301 Moved Permanently

David Omolaja

Like this project

Posted Dec 21, 2024

A sales dashboard that visualizes key metrics like revenue, sales performance, and product trends, helping teams track goals and drive growth.

Correlation analysis for movies
Correlation analysis for movies
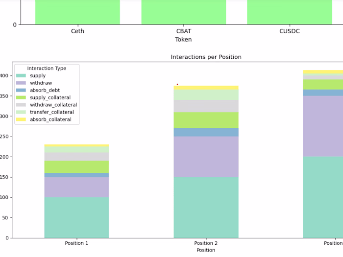
Analyzing compound v3 subgraph
Analyzing compound v3 subgraph

Join 50k+ companies and 1M+ independents

Contra Logo

© 2025 Contra.Work Inc