Atlantic Ocean Facts, Location & Depth | Where is the Atlantic …

EKta Purswani

Like this project

Posted Jul 10, 2023

Learn about the Atlantic Ocean and see where it’s located. Explore the deepest part of the Atlantic Ocean and study Atlantic Ocean facts.

Why segregate waste? (especially for my fellow Indians)
Why segregate waste? (especially for my fellow Indians)
Cheetah ReIntroduction: A bold step or a miscalculated priority
Cheetah ReIntroduction: A bold step or a miscalculated priority
Who is financing Russia’s invasion of Ukraine?
Who is financing Russia’s invasion of Ukraine?
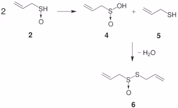
What is Allicin?
What is Allicin?

Join 50k+ companies and 1M+ independents

Contra Logo

© 2025 Contra.Work Inc