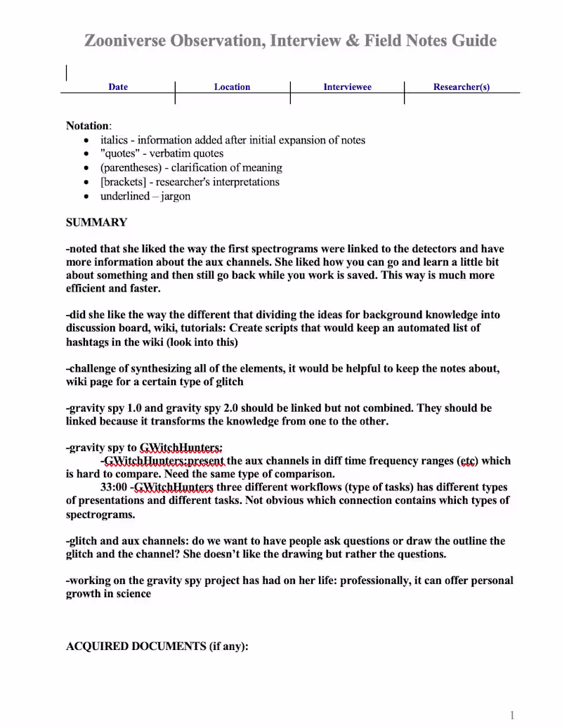
How can I evaluate the experience level of a Maze expert on Contra?
When hiring a Maze expert, consider their portfolio and previous projects. Look for case studies that highlight their experience with usability testing and prototype validation. Check if they have worked with diverse industries to ensure a broad skill set.
What should I include in the project brief for a Maze expert?
Ensure your project brief clearly outlines the objectives and desired outcomes. Specify if you need usability testing, prototype validation, or user interviews. This clarity will help the expert understand your needs and tailor their approach accordingly.
How do I establish clear deliverables with a Maze expert?
Discuss the type of insights you need, such as detailed user feedback summaries. Agree on timelines for deliverables like usability test reports. Ensure both parties have a mutual understanding of what success looks like for the project.
What are effective ways to communicate with a Maze expert?
Regular communication is key when working with a Maze expert. Set up weekly check-ins to discuss progress and insights. Utilize video calls to review user testing outcomes and address any questions quickly.
How do I ensure the Maze expert understands my target audience?
Provide detailed information about your target audience’s demographics and behaviors. Share any existing user personas or past research data. This will help the expert design their research to better align with your users' needs.
What security protocols should I ensure while working with a Maze expert?
Discuss how user data will be handled to comply with legal standards. In the United States, ensure compliance with data protection regulations. Ask about their data security measures to ensure user privacy is maintained.
How can I align on the timeline for completing the Maze project?
Discuss and document key project milestones and a timeline at the start. Be flexible but clear about any critical deadlines. This will help avoid any misunderstandings and keep the project on track.
What should I do to prepare for the initial meeting with a Maze expert?
Come prepared with a list of goals and any relevant materials or data. Share your vision and priorities for the project. This allows the Maze expert to provide informed recommendations during your discussions.
How can I build trust with my freelance Maze expert?
Start with transparent and open communication to create a strong relationship. Provide constructive feedback and acknowledge their expertise. Valuing their insights can foster a collaborative working environment.
What considerations should I make for using user research findings in the United States?
Ensure the research findings comply with local laws and cultural nuances. Make sure the discussed actions align with your business's operations within the United States. This consideration helps tailor the insights for impactful application.
Who is Contra for?
Contra is designed for both freelancers (referred to as "independents") and clients. Freelancers can showcase their work, connect with clients, and manage projects commission-free. Clients can discover and hire top freelance talent for their projects.
What is the vision of Contra?
Contra aims to revolutionize the world of work by providing an all-in-one platform that empowers freelancers and clients to connect and collaborate seamlessly, eliminating traditional barriers and commission fees.

- 5.0
- Rating

- $1k+
- Earned
- 1x
- Hired
- 5.0
- Rating
- 3
- Followers

- 1x
- Hired
- 5.0
- Rating
- 7
- Followers

- $1k+
- Earned
- 2x
- Hired
- 5.0
- Rating
- 4
- Followers































































































