Sign Up

Patrick Duhirwe

Data Analysis | Machine Learning | Web Crawling

Ready for work

Patrick is ready for their next project!

South Korea

OverviewWorkServicesAbout

Featured work

View all (4)
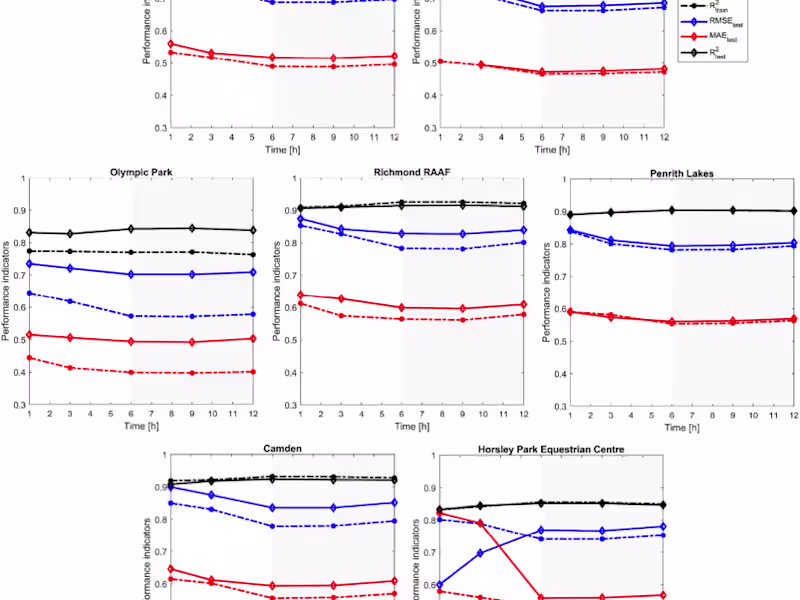
Cover image for LSTM model to forecast outdoor air pollutants
Python

Python

ML Engineer

Data Analyst

+2

LSTM model to forecast outdoor air pollutants

0
5
Cover image for Forecasting UHI Intensity in Sydney Using LSTM Models
Python

Python

ML Engineer

Data Analyst

+2

Forecasting UHI Intensity in Sydney Using LSTM Models

0
12
Cover image for Machine Learning for Daylight Prediction
Python

Python

ML Engineer

Data Analyst

+2

Machine Learning for Daylight Prediction

0
3

Featured services

View all (3)
Cover image for Advanced Web Scraping
BeautifulSoup

BeautifulSoup

Data Scraper

Data Scientist

+3

Advanced Web Scraping

$25

Cover image for Simple Data Analysis

Data Analysis

Data Scientist

Data Modelling Analyst

+5

Simple Data Analysis

$25

Cover image for Advanced Data Analysis

Data Analysis

Data Analyst

Data Modelling Analyst

+5

Advanced Data Analysis

Contact for pricing