Sign Up

Jean Paul Mitterhofer

Uncovering Hidden Gems in Your Data

Ready for work

Jean Paul is ready for their next project!

Katy, USA

OverviewWorkServicesAbout

Featured work

View all (3)
Cover image for Metrics and Label Anonymization
Microsoft Excel

Microsoft Excel

Data Analyst

Python

Python

Metrics and Label Anonymization

0
0
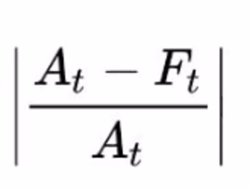
Cover image for Mean Absolute Percentage Error (MAPE)
Microsoft Excel

Microsoft Excel

Data Analyst

Python

Python

Mean Absolute Percentage Error (MAPE)

0
0
Cover image for Energy Reports
Python

Python

Data Analyst

Data Visualizer

Energy Reports

0
3

Featured services

View all (2)
Cover image for Data Cleanup and Preparation
Microsoft Excel

Microsoft Excel

Data Analyst

Python

Python

Data Cleanup and Preparation

$100

Cover image for Data on the Go: Portable HTML Visualizations
Python

Python

Data Analyst

Data Visualizer

Data on the Go: Portable HTML Visualizations

Contact for pricing